892 B
892 B
Length Node
Description
Returns the length of input In. This is also known as magnitude. A vector's length is calculated with Pythagorean Theorum.
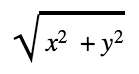
The length of a Vector 2 can be calculated as:
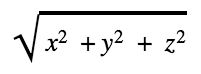
Where x and y are the components of the input vector. Length can be calculated for other dimension vectors by adding or removing components.
And so on.
Ports
| Name | Direction | Type | Description |
|---|---|---|---|
| In | Input | Dynamic Vector | Input value |
| Out | Output | Float | Output value |
Generated Code Example
The following example code represents one possible outcome of this node.
void Unity_Length_float4(float4 In, out float Out)
{
Out = length(In);
}

